12 年
手机商铺
公司新闻/正文
407 人阅读发布时间:2025-07-04 10:43

● 作用机制创新:揭示Shictin通过钙离子依赖的糖识别机制结合SARS-CoV-2刺突蛋白聚糖,阻断病毒入侵
● 技术方法突破:建立植物源VLNs的高效筛选平台,为抗病毒药物开发提供新资源
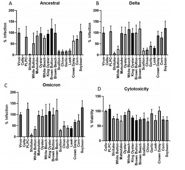
通过超速离心法从15种蔬菜(表1)中分离VLNs,采用假病毒中和实验评估其对SARS-CoV-2三种变异株(原始株、Delta、Omicron)的抑制效果。结果显示:香菇、白蘑菇、葱、韭菜、大蒜和韭葱的VLNs对所有三种变异株均表现出显著抑制活性(图1A-C)细胞毒性实验(MTT法)证实,在1×10¹⁰/mL浓度下,所有VLNs样品均未显示显著毒性(细胞存活率65.3%-100%)(图1D)。

图1. 蔬菜VLNs的抗病毒活性筛选。(A-C) 对原始株、Delta和Omicron假病毒的中和率;(D) VLNs的细胞毒性检测(PLPC为阴性对照脂质体)
四种活性最强的VLNs(香菇、韭葱、大蒜和韭菜)的剂量效应分析显示,香菇VLNs对原始株的EC50值最低(5.2×10⁸/mL)(图2A)。

图2. 蔬菜来源的VLNs对SARS-CoV-2假病毒(武汉Hu-1株)的抑制实验(半数有效浓度EC₅₀): (A) 香菇 (B) 韭葱 (C) 大蒜 (D)韭菜
香菇VLNs对所有变异株均表现最佳抑制活性(原始株EC50=5.2×10⁸/mL)细胞毒性实验(MTT法)证实其在1.7×10⁹/mL浓度下仍保持>60%细胞活力(图3C)。

图3. 香菇VLNs对不同SARS-CoV-2假病毒变异株的抑制实验(半数有效浓度EC₅₀): (A) 德尔塔变异株(B) 奥密克戎变异株。 (C)香菇VLNs的细胞毒性实验(CC₅₀)。
通过热处理(95℃ 10分钟)和超声处理对比发现:扫描电镜显示热处理导致VLNs结构塌陷(图4A),热处理显著降低抗病毒活性(**p<0.01),提示蛋白质成分起关键作用(图4B)。

图4:经超声或加热处理的香菇VLNs形态变化及抗病毒功能分析
(A) 扫描电子显微镜(SEM)成像分析:未处理组、超声处理组、加热处理组。
(B) 处理后的香菇VLNs对SARS-CoV-2原始毒株(Ancestral strain)的抗病毒活性测试。显微图像显示未处理组、超声处理组及加热处理组VLNs的低倍与高倍(插图)放大结果。比例尺:主图2 µm,插图0.5 µm。
通过对香菇 VLN 做蛋白质组实验,鉴定出新型凝集素Shictin:全长298个氨基酸,含N端CBD结构域(与α-L-鼠李糖苷酶CBM67家族同源)和独特C端域(图5A)。从这种基于链霉菌α-l-鼠李糖苷酶碳水化合物结合模块67(CBM67)的蛋白质结构模型来看,CBD被认为是抗病毒活性的原因(图5B)。来自纯化蛋白质的清晰 17 kDa 条带出现在 10% PAGE 凝胶中,与 Shictin CBD 预测的大小相匹配(图5C)。

图5. Shictin蛋白的特性分析。(A) Shictin蛋白的序列特征描述; (B)Shictin蛋白的三维(3D)结构模型;(C)从大肠杆菌BL21细胞中纯化的Shictin蛋白;(图示说明:SP,信号肽(绿色);NTD,N端结构域(品红色);CTD,C端结构域(青色);CBD,碳水化合物结合结构域)
作者通过探究发现这些凝集素具有低序列同源性,但具有高结构同源性。将 5 个顶部同源凝集素与它们的序列(图 6A) 和结构 (图 6B) 进行比较。序列同一性范围为 19% 至 44%,但它们的结构同一性显示相同的折叠(典型的 β-jellyroll 折叠)和强叠加,置信度为 100%,RMSD 值在 1.748 和 2.099 之间,TM 评分大于 0.71。这种现象表明,糖对凝集素的识别不是分子特异性的,而是几何形状特异性的。

图6. 五个同源碳水化合物结合结构域(CBD) 与 Shictin CBD 的叠加。(A) 同源 CBD 的蛋白质序列比对。(B) 叠加的同源 CBD 结构。绿色的钙离子 (Ca2+)显示在碳水化合物结合位点(CBS)[56]。TM 分数是从 0 到 1 的标准化分数,代表蛋白质的整体相似性。分数高于 0.5 表示总体折叠相同。
为了破译Shictin CBD 的糖结合,作者对结构进行了进一步分析,并将其与高度同源的Pleurotus ostreatus 凝集素(POL)进行了比较,发现hictin CBD 与这两个 CBD 结构叠加(图7A),并且在碳水化合物结合位点模拟钙依赖性糖结合(图7A-C)。两个天冬氨酸残基(D43 和 D44)在碳水化合物结合位点用于钙基糖(melibiose 或 NAG)结合(图7B 或图7C)。另一个残基,Shictin 中的缬氨酸 (V)97 但凝集素 POL 中的脯氨酸 (P),也有助于该结合位点的碳水化合物结合,从序列比较中确定(图7D)。P/V97 这个位置的序列差异可能与它们的糖结合和功能差异有关 。

图7. Shictin碳水化合物结合结构域的分子模型。(A) Shictin CBD 结构模型(洋红色)与 C 末端结构域(6T1Dct-melibiose,灰青色)和 (6LI7ct-NAG,黄-红色)的凝集素 POL 结构模型。(B,C)显示糖 melibiose 或 N-乙酰-d-葡萄糖胺 (NAG) 在 Shictin CBD 的碳水化合物结合位点的模制碳水化合物结合。(D) Shictin CBD 与凝集素 POLC 末端序列 (6T1D_ct) 和 (6LI7_ct) 的蛋白质序列比较。假设用于糖结合的三个关键残基 (D43、D44 和 P/V97) 以红色框定。
假病毒和真病毒实验均显示:对Omicron抑制最强(IC50=87 nM),Delta次之(3.2 μM),原始株最弱(图8)结构分析表明该差异与病毒S蛋白糖基化模式演变相关:Omicron的寡甘露糖型聚糖增加提升Shictin结合效率,Vero-E6细胞缺乏TMPRSS2使Omicron更依赖内体途径(易受凝集素干扰)。

图8. Shictin (CBD) 对SARS-CoV-2变异株的抑制实验(半数抑制浓度IC₅₀)。
(A) 对假病毒的抑制作用[原始株(Wuhan Hu-1)、德尔塔(B.1.617.2)和奥密克戎(BA.1) (B) 对活病毒的抑制作用 [原始株(WA1)和奥密克戎(B.1.1.529)]
● 香菇VLNs是抗病毒凝集素的优质来源,其活性成分Shictin对奥密克戎变异株具有显著抑制效果
● Shictin通过钙离子依赖的糖识别机制结合病毒聚糖,抑制效率与毒株糖基化模式相关
● 该研究为开发针对病毒糖基化特征的广谱抗病毒药物提供新思路
本研究创新性地将食用菌来源的VLNs应用于抗病毒药物开发,未来可进一步优化Shictin的给药系统,并探索其对其他高糖基化病毒(如HIV、流感病毒)的抑制作用。
文献:Wiggins J, Karim SU, Liu B, Li X, Zhou Y, Bai F, Yu J, Xiang SH. Identification of a Novel Antiviral Lectin against SARS-CoV-2 Omicron Variant from Shiitake-Mushroom-Derived Vesicle-like Nanoparticles.Viruses.2024Sep 30;16(10):1546.